AMC 8 2025
Instructions
- This is a 25-question, multiple choice test. Each question is followed by answers marked A, B, C, D and E. Only one of these is correct.
- You will receive 1 point for each correct answer. There is no penalty for wrong answers.
- No aids are permitted other than plain scratch paper, writing utensils, ruler, and erasers. In particular, graph paper, compass, protractor, calculators, computers, smartwatches, and smartphones are not permitted.
- Figures are not necessarily drawn to scale.
- You will have 40 minutes working time to complete the test.



$\textbf{B}$
The first hieroglyph is worth $10,000$, the next four are worth $100 \times 4 = 400$, then the next two are worth $10 \times 2 = 20$, and the last three are worth $1 \times 3 = 3$. Therefore, the answer is $10,000 + 400 + 20 + 3 = 10,423$.


Ningli looks at the $6$ pairs of numbers directly across from each other on a clock. She takes the average of each pair of numbers. What is the average of the resulting $6$ numbers?
$\textbf{(A)}\ 5\qquad \textbf{(B)}\ 6.5\qquad \textbf{(C)}\ 8\qquad \textbf{(D)}\ 9.5 \qquad \textbf{(E)}\ 12$
$\textbf{B}$
\begin{align*}
\frac{\frac{1+7}{2} + \frac{2+8}{2} + \cdots + \frac{6+12}{2}}{6} &= \frac{1+2+3+\cdots+12}{2 \cdot 6}\\
&= \frac{\frac{1}{2}\cdot12 \cdot 13}{2 \cdot 6}\\
&= \frac{13}{2}\\
&= 6.5
\end{align*}






Each of the even numbers $2, 4, 6, \ldots, 50$ is divided by $7$. The remainders are recorded. Which histogram displays the number of times each remainder occurs?


Five distinct integers from $1$ to $10$ are chosen, and five distinct integers from $11$ to $20$ are chosen. No two numbers differ by exactly $10$. What is the sum of the ten chosen numbers?



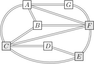
The Konigsberg School has assigned grades 1 through 7 to pods $A$ through $G$, one grade per pod. Some of the pods are connected by walkways, as shown in the figure below. The school noticed that each pair of connected pods has been assigned grades differing by 2 or more grade levels. (For example, grades 1 and 2 will not be in pods directly connected by a walkway.) What is the sum of the grade levels assigned to pods $C, E$, and $F$?
$\textbf{(A)}~12\qquad\textbf{(B)}~13\qquad\textbf{(C)}~14\qquad\textbf{(D)}~15\qquad\textbf{(E)}~16$

$\textbf{B}$
Property II implies that the perfect square must end in $00$ because $...99+1=...00$ (Property I). Four-digit perfect squares ending in $00$ are $\{40, 50, 60, 70, 80, 90\}$. Besides, we need to add 100 to the list.
Property II also says the number is in the form $n^2-1$. By the Difference of Squares, $n^2-1 = (n+1)(n-1)$. Hence: \begin{align*}
40^2-1 &= 39\times41\\
50^2-1 &= 49\times51\\
60^2-1 &= 59\times61\\
70^2-1 &= 69\times71\\
80^2-1 &= 79\times81\\
90^2-1 &= 89\times91\\
100^2-1 &= 99\times101
\end{align*} On this list, the only number that is the product of $2$ prime numbers (Property III) is $60^2-1 = 59\times61$. So the answer is $B$.

